 忠县人民政府
						行政规范性文件
						忠县人民政府
						行政规范性文件
					
忠 县 人 民 政 府
关于公布忠县国有建设用地使用权
土地级别和基准地价的通知
忠府发〔2016〕39号
各乡镇人民政府,各街道办事处,县政府各部门:
根据《中华人民共和国城市房地产管理法》《重庆市国有建设用地使用权出让管理实施办法》(渝府发〔2008〕119号),为进一步加强土地资产管理、完善科学的地价管理体系,规范土地市场秩序,发挥政府指导调控作用,按照《重庆市国土房管局关于部署开展国有建设用地使用权基准地价调整更新工作的通知》(渝国土房管〔2016〕395号)《重庆市国土房管局关于印发区县(自治县)国有建设用地使用权基准地价平衡调整方案的通知》(渝国土房管〔2016〕649号)要求,经2016年县政府第103次常务会议审议通过。现将忠县国有建设用地使用权土地级别和基准地价公布如下,请遵照执行:
一、基准地价是政府管理和调控土地市场的基本手段,是制定土地税费、核算土地资产收益的主要依据,全县各级各部门必须严格执行。
二、本通知自2016年10月1日起执行,基准地价说明一并公布执行。
(一)2016年10月1日前县国土房管局受理的业务审批件,仍按忠国土资发(2008)27号文件公布的土地级别执行(以行政审批业务受理凭证开具时间为准)。
(二)2016年10月1日后(含10月1日)县国土房管局受理的业务审批件,均按本通知公布的土地级别执行。
三、县政府有关部门和有关单位要做好相关政策的衔接工作,施行中的具体问题由县国土房管局负责解释。
四、若个别区域土地级别的影响因素发生明显变化,土地级别需作调整或执行中的其他问题,请各单位及时向县人民政府反馈。
五、各单位及其工作人员要实事求是地执行本通知有关要求,不得弄虚作假、违反政策规定。
附件:1. 忠县国有建设用地使用权基准地价
2. 忠县国有建设用地土地级别册
3. 忠县国有建设用地使用权基准地价说明
附件1
忠县国有建设用地使用权基准地价
单位:元/平方米(建筑面积)
| 级别 | 商业 | 办公 | 住宅 | 工业 | 
| 1 | 1160 | 990 | 920 | 300 | 
| 2 | 940 | 800 | 730 | 190 | 
| 3 | 730 | 580 | 580 | 145 | 
| 4 | 520 | 420 | 430 | 120 | 
| 5 | 310 | 230 | 270 | 115 | 
| 6 | 140 | 110 | 160 | 110 | 
| 
 | 
 | 
 | 
 | 
 | 
| 注:1、基准地价是城镇土地不同级别、不同用途、设定容积率和土地开发程度下,某一估价期日法定最高出让年期出让国有建设用地使用权的区域平均价格。2、基准地价表现形式为楼面地价。3、基准地价期为2016年1月1日。4、基准地价对应的使用年限为商业40年、办公40年、住宅70年、工业50年。5、基准地价对应的容积率为商业3.0、办公3.0、住宅2.5、工业1.0。6、商业、办公、住宅用地开发程度为“六通一平”指宗地外通路、通电、通信、通上水、通下水、通燃气及场地内场地平整;工业用地开发程度为“五通一平”,指宗地外通路、通电、通信、通上水、通下水及宗地内场地平整。 | ||||
附件2
忠县国有建设用地土地级别册
商业用地级别册:
| 所属 辖区 | 级别 | 范围说明(商业) | 
| 忠州 街道 | 1级 | 巴王路(玉溪大桥-广场西路) | 
| 2级 | 人民路(巴王路-养路一段-健康路)、健康路、巴王支路、中博大道(中博隧道-广场西路)、广场支路、州屏环道、州屏支路、东坡梯道(果园路至巴王路)、果园路、香山路(建委转盘至游乐场)、在建公路(白桥溪大桥至红星广场)、在建公路(果园路至红星广场) | |
| 3级 | 东坡梯道(巴王路至临江路段)、香山路其余路段、香山一路、香山二路、人民西路、人民路(养路一段至汽车大修厂)、环城路(香山路-甘井口大桥)、乐天路、广场西路、广场东路、新华路、新华支路、红星路、红星支路、石垫路、大桥路、东坡梯道(巴王路至临江路段)、东坡路、体育路、十字街、临江路。 | |
| 4级 | 环城路(其余路段)、川汉路、渝巴路、山东路、精忠路、居民街、沈阳路、郑公路、规划范围内其他国有建设用地 | |
| 白公 街道 | 3级 | 白公路(玉溪大桥-滨江路与白公路汇合处) | 
| 4级 | 西山路、渝巴路、白公路(其余路段)、曼子路、滨江路(玉溪二桥至黄金水岸)、其他规划道路 | |
| 5级 | 规划范围内其他国有建设用地 | |
| 拔山镇 | 3级 | 新花路两侧、吉祥广场及广场路、正街两侧(工商所所在区) | 
| 4级 | 新华街两侧正街以东、北门街、公安路两侧、农贸市场所在区 | |
| 5级 | 新华路以北公安路以西、朝阳路、镇西侧忠垫公路两侧、镇东侧忠垫公路两侧、忠精公路两侧、庙垭乡、其他地区及规划范围内其他国有建设用地 | |
| 东溪镇 | 4级 | 翠屏路、宣公路、宣公支路、神溪路、姜维路 | 
| 5级 | 其他地区及规划范围内其他国有建设用地 | |
| 石宝镇 | 4级 | 临江大街(沿头至13米街)、临溪街、五一街、和平街、临江大街 | 
| 5级 | 咸隆场、其他地区及规划范围内其他国有建设用地 | |
| 乌杨镇 | 4级 | 杨将路、怡然路西段、怡然路东段、杨将街步行街、玲珑路东段、怡然路西段、杨将路末段、乌杨工业园区 | 
| 5级 | 曹家乡、其他地区及规划范围内其他国有建设用地 | |
| 汝溪镇 | 3级 | 农贸市场范围、十字路口至白庙岔路口广场路、广场支路、丝绸路(汝溪派出所至丝绸路与健康路交汇处)、十字街至中学、健康路、镇江路(海尔电器至邮电路与镇江路交汇处)、香滨路、邮电路(丝绸路与邮电路交汇处至汝溪大酒店) | 
| 4级 | 滨河路、渝巴路、丝绸路其余路段、镇江路其余路段、邮电路其余路段 | |
| 5级 | 谭家咀、其他地区及规划范围内其他国有建设用地 | |
| 新立镇 | 4级 | 文昌街、新业街、新立街、橘城路、策勋街、接仙街 | 
| 5级 | 中岭场上、精华场上、长岭场、其他地区及规划范围内其他国有建设用地 | |
| 三汇镇 | 5级 | 汇鑫北路、汇里街、汇鑫南路 | 
| 6级 | 泰来乡、其他地区及规划范围内其他国有建设用地 | |
| 官坝镇 | 4级 | 三白路、建设路、育才路、人民路、官坝老街、五一路、陶官路 | 
| 5级 | 丰收乡、其他地区及规划范围内其他国有建设用地 | |
| 洋渡镇 | 5级 | 鸿鹤路、鸿祥路、鸿图路、鸿图支路、滨江路 | 
| 6级 | 同合场、蒲家场、其他地区及规划范围内其他国有建设用地 | |
| 马灌镇 | 5级 | 迎宾街、健康路、文明路、官塘街、天平路、南新街、平安路 | 
| 6级 | 高洞场、黄钦场、倒灌场、其他地区及规划范围内其他国有建设用地 | |
| 新生镇 | 5级 | 新生财政所至新生社区、新生财政所至仕琼百货至友好柏言花园、新生汽车站范围、滨河小区至桐君阁大药房、新生镇敬老院至新生国家电网 | 
| 6级 | 望水乡场、其他地区及规划范围内其他国有建设用地 | |
| 复兴镇 | 4级 | 复兴大道、消防街、滨江街、川汉路、水平工业园区 | 
| 5级 | 其他地区及规划范围内其他国有建设用地 | |
| 白石镇 | 4级 | 石垫路、滨河路、三白路、白两路 | 
| 5级 | 巴营乡、两河乡、其他地区及规划范围内其他国有建设用地 | |
| 金鸡镇 | 5级 | 永青路、马金路、金泰路、文桂街 | 
| 6级 | 其他地区及规划范围内其他国有建设用地 | |
| 黄金镇 | 5级 | 忠万路、忠丰路 | 
| 6级 | 大岭乡、其他地区及规划范围内其他国有建设用地 | |
| 双桂镇 | 5级 | 瞿家巷子路口-双桂粮点(含滨河小区、商业街、桂华康居示范点等场镇规划区范围) | 
| 6级 | 瞿家巷子路口-原双桂收费站、双桂粮点-过桥村办公室、同德场、其他地区及规划范围内其他国有建设用地 | |
| 任家镇 | 5级 | 六三街、通江街 | 
| 6级 | 其他地区及规划范围内其他国有建设用地 | |
| 永丰镇 | 5级 | 紫薇大街及转盘、石垫路梁管所路口至金珠环路、永丰小学至老街黄桷树 | 
| 6级 | 其他地区及规划范围内其他国有建设用地 | |
| 野鹤镇 | 5级 | 忠万路西侧、忠万路东侧 | 
| 6级 | 新场乡、其他地区及规划范围内其他国有建设用地 | |
| 花桥镇 | 6级 | 花桥中学至花桥小学、花桥卫生院至镇政府大门、其他地区及规划范围内其他国有建设用地 | 
| 石黄镇 | 6级 | 十字街供销商场至卫生院、计生站至中心学校门口、其他地区及规划范围内其他国有建设用地 | 
| 金声乡 | 6级 | 金声乡、其他地区及规划范围内其他国有建设用地 | 
| 磨子乡 | 6级 | 磨子乡、其他地区及规划范围内其他国有建设用地 | 
| 石子乡 | 6级 | 石子乡、其他地区及规划范围内其他国有建设用地 | 
| 兴峰乡 | 6级 | 兴峰乡、其他地区及规划范围内其他国有建设用地 | 
| 涂井乡 | 6级 | 涂井乡、其他地区及规划范围内其他国有建设用地 | 
| 善广乡 | 6级 | 善广乡、其他地区及规划范围内其他国有建设用地 | 
办公用途的级别册参照商业用途的级别册。
住宅用地级别册:
| 所属 辖区 | 级别 | 范围说明(住宅) | 
| 忠州 街道 | 1级 | 巴王路-广场西路-东坡梯道-州屏路-州屏环路-香山路-健康路-人民路-巴王路所围区域 | 
| 2级 | 广场西路-巴王路-白桥溪大桥-大桥路-大桥支路-新华路-乐天路-广场东路-中博支路-中博大道(中博隧道)-香山路-规划道路-人民路-临江路-滨江路-体育路-巴王路-人民路-健康路-州屏环路-州屏路-东坡梯道-广场西路所围区域 | |
| 3级 | 巴王路-体育路-滨江路-巴王路所围区域,滨江路-白桥溪大桥-大桥路-新华路-路-乐天路-广场东路-中博支路-中博大道(中博隧道)-香山路-规划道路-人民路-玉溪河-川汉路-人民西路-环城路-香山路-环城路-甘井口大桥所围区域 | |
| 4级 | 山东路、精忠路、郑公路、沈阳路、规划范围内其他国有建设用地 | |
| 白公 街道 | 2级 | 白公路(玉溪大桥至白公路与西山路交汇处)-曼子路-滨江路(玉溪二桥至黄金水岸)-白公路(玉溪大桥处)所围区域 | 
| 3级 | 白公路(玉溪大桥至白公路与西山路交汇处)-西山路-规划玉溪大桥-白公路(玉溪大桥处)所围区域,白公路(白公路与西山路交汇处至白公路与滨江路交汇处)-滨江路(白公路与滨江路交汇处至黄金水岸)-曼子路-白公路(白公路与西山路交汇处)所围区域 | |
| 4级 | 白公路(白公路与西山路交汇处)-渝巴路-规划玉溪大桥-西山路-白公路(白公路与西山路交汇处)所围区域 | |
| 5级 | 规划范围内其他国有建设用地 | |
| 拔山镇 | 3级 | 新花路两侧、吉祥广场及广场路、正街两侧(工商所所在区) | 
| 4级 | 新华街两侧正街以东、北门街、公安路两侧、农贸市场所在区 | |
| 5级 | 新华路以北公安路以西、朝阳路、镇西侧忠垫公路两侧、镇东侧忠垫公路两侧、忠精公路两侧、庙垭乡、其他地区及规划范围内其他国有建设用地 | |
| 东溪镇 | 4级 | 翠屏路、宣公路、宣公支路、神溪路、姜维路 | 
| 5级 | 其他地区及规划范围内其他国有建设用地 | |
| 石宝镇 | 4级 | 临江大街(沿头至13米街)、临溪街、五一街、和平街、临江大街 | 
| 5级 | 咸隆场、其他地区及规划范围内其他国有建设用地 | |
| 乌杨镇 | 4级 | 杨将路、怡然路西段、怡然路东段、杨将街步行街、玲珑路东段、怡然路西段、杨将路末段、乌杨工业园区 | 
| 5级 | 曹家乡、其他地区及规划范围内其他国有建设用地 | |
| 汝溪镇 | 3级 | 农贸市场范围、十字路口至白庙岔路口广场路、广场支路、丝绸路(汝溪派出所至丝绸路与健康路交汇处)、十字街至中学、健康路、镇江路(海尔电器至邮电路与镇江路交汇处)、香滨路、邮电路(丝绸路与邮电路交汇处至汝溪大酒店) | 
| 4级 | 滨河路、渝巴路、丝绸路其余路段、镇江路其余路段、邮电路其余路段 | |
| 5级 | 谭家咀、其他地区及规划范围内其他国有建设用地 | |
| 新立镇 | 4级 | 文昌街、新业街、新立街、橘城路、策勋街、接仙街 | 
| 5级 | 中岭场上、精华场上、长岭场、其他地区及规划范围内其他国有建设用地 | |
| 三汇镇 | 5级 | 汇鑫北路、汇里街、汇鑫南路 | 
| 6级 | 泰来乡、其他地区及规划范围内其他国有建设用地 | |
| 官坝镇 | 4级 | 三白路、建设路、育才路、人民路、官坝老街、五一路、陶官路 | 
| 5级 | 丰收乡、其他地区及规划范围内其他国有建设用地 | |
| 洋渡镇 | 5级 | 鸿鹤路、鸿祥路、鸿图路、鸿图支路、滨江路 | 
| 6级 | 同合场、蒲家场、其他地区及规划范围内其他国有建设用地 | |
| 马灌镇 | 5级 | 迎宾街、健康路、文明路、官塘街、天平路、南新街、平安路 | 
| 6级 | 高洞场、黄钦场、倒灌场、其他地区及规划范围内其他国有建设用地 | |
| 新生镇 | 5级 | 新生财政所至新生社区、新生财政所至仕琼百货至友好柏言花园、新生汽车站范围、滨河小区至桐君阁大药房、新生镇敬老院至新生国家电网 | 
| 6级 | 望水乡场、其他地区及规划范围内其他国有建设用地 | |
| 复兴镇 | 4级 | 复兴大道、消防街、滨江街、川汉路、水平工业园区 | 
| 5级 | 其他地区及规划范围内其他国有建设用地 | |
| 白石镇 | 4级 | 石垫路、滨河路、三白路、白两路 | 
| 5级 | 巴营乡、两河乡、其他地区及规划范围内其他国有建设用地 | |
| 金鸡镇 | 5级 | 永青路、马金路、金泰路、文桂街 | 
| 6级 | 其他地区及规划范围内其他国有建设用地 | |
| 黄金镇 | 5级 | 忠万路、忠丰路 | 
| 6级 | 大岭乡、其他地区及规划范围内其他国有建设用地 | |
| 双桂镇 | 5级 | 瞿家巷子路口-双桂粮点(含滨河小区、商业街、桂华康居示范点等场镇规划区范围) | 
| 6级 | 瞿家巷子路口-原双桂收费站、双桂粮点-过桥村办公室、同德场、其他地区及规划范围内其他国有建设用地 | |
| 任家镇 | 5级 | 六三街、通江街 | 
| 6级 | 其他地区及规划范围内其他国有建设用地 | |
| 永丰镇 | 5级 | 紫薇大街及转盘、石垫路梁管所路口至金珠环路、永丰小学至老街黄桷树 | 
| 6级 | 其他地区及规划范围内其他国有建设用地 | |
| 野鹤镇 | 5级 | 忠万路西侧、忠万路东侧 | 
| 6级 | 新场乡、其他地区及规划范围内其他国有建设用地 | |
| 花桥镇 | 6级 | 花桥中学至花桥小学、花桥卫生院至镇政府大门、其他地区及规划范围内其他国有建设用地 | 
| 石黄镇 | 6级 | 十字街供销商场至卫生院、计生站至中心学校门口、其他地区及规划范围内其他国有建设用地 | 
| 金声乡 | 6级 | 金声乡、其他地区及规划范围内其他国有建设用地 | 
| 磨子乡 | 6级 | 磨子乡、其他地区及规划范围内其他国有建设用地 | 
| 石子乡 | 6级 | 石子乡、其他地区及规划范围内其他国有建设用地 | 
| 兴峰乡 | 6级 | 兴峰乡、其他地区及规划范围内其他国有建设用地 | 
| 涂井乡 | 6级 | 涂井乡、其他地区及规划范围内其他国有建设用地 | 
| 善广乡 | 6级 | 善广乡、其他地区及规划范围内其他国有建设用地 | 
工业用地级别册:
| 所属 辖区 | 级 别 | 范围说明(工业) | 
| 忠州 街道 | 1级 | 巴王路-广场西路-东坡梯道-州屏路-州屏环路-香山路-健康路-人民路-巴王路所围区域 | 
| 2级 | 广场西路-巴王路-白桥溪大桥-大桥路-大桥支路-新华路-乐天路-广场东路-中博支路-中博大道(中博隧道)-香山路-规划道路-人民路-临江路-滨江路-体育路-巴王路-人民路-健康路-州屏环路-州屏路-东坡梯道-广场西路所围区域 | |
| 3级 | 巴王路-体育路-滨江路-巴王路所围区域,滨江路-白桥溪大桥-大桥路-新华路-路-乐天路-广场东路-中博支路-中博大道(中博隧道)-香山路-规划道路-人民路-玉溪河-川汉路-人民西路-环城路-香山路-环城路-甘井口大桥所围区域 | |
| 4级 | 山东路、精忠路、郑公路、沈阳路、规划范围内其他国有建设用地 | |
| 白公 街道 | 2级 | 白公路(玉溪大桥至白公路与西山路交汇处)-曼子路-滨江路(玉溪二桥至黄金水岸)-白公路(玉溪大桥处)所围区域 | 
| 3级 | 白公路(玉溪大桥至白公路与西山路交汇处)-西山路-规划玉溪大桥-白公路(玉溪大桥处)所围区域,白公路(白公路与西山路交汇处至白公路与滨江路交汇处)-滨江路(白公路与滨江路交汇处至黄金水岸)-曼子路-白公路(白公路与西山路交汇处)所围区域 | |
| 4级 | 白公路(白公路与西山路交汇处)-渝巴路-规划玉溪大桥-西山路-白公路(白公路与西山路交汇处)所围区域 | |
| 5级 | 规划范围内其他国有建设用地 | |
| 拔山镇 | 3级 | 新花路两侧、吉祥广场及广场路、正街两侧(工商所所在区) | 
| 4级 | 新华街两侧正街以东、北门街、公安路两侧、农贸市场所在区 | |
| 5级 | 新华路以北公安路以西、朝阳路、镇西侧忠垫公路两侧、镇东侧忠垫公路两侧、忠精公路两侧、庙垭乡、其他地区及规划范围内其他国有建设用地 | |
| 东溪镇 | 4级 | 翠屏路、宣公路、宣公支路、神溪路、姜维路 | 
| 5级 | 其他地区及规划范围内其他国有建设用地 | |
| 石宝镇 | 4级 | 临江大街(沿头至13米街)、临溪街、五一街、和平街、临江大街 | 
| 5级 | 咸隆场、其他地区及规划范围内其他国有建设用地 | |
| 乌杨镇 | 4级 | 杨将路、怡然路西段、怡然路东段、杨将街步行街、玲珑路东段、怡然路西段、杨将路末段、乌杨工业园区 | 
| 5级 | 曹家乡、其他地区及规划范围内其他国有建设用地 | |
| 汝溪镇 | 3级 | 农贸市场范围、十字路口至白庙岔路口广场路、广场支路、丝绸路(汝溪派出所至丝绸路与健康路交汇处)、十字街至中学、健康路、镇江路(海尔电器至邮电路与镇江路交汇处)、香滨路、邮电路(丝绸路与邮电路交汇处至汝溪大酒店) | 
| 4级 | 滨河路、渝巴路、丝绸路其余路段、镇江路其余路段、邮电路其余路段 | |
| 5级 | 谭家咀、其他地区及规划范围内其他国有建设用地 | |
| 新立镇 | 4级 | 文昌街、新业街、新立街、橘城路、策勋街、接仙街 | 
| 5级 | 中岭场上、精华场上、长岭场、其他地区及规划范围内其他国有建设用地 | |
| 三汇镇 | 5级 | 汇鑫北路、汇里街、汇鑫南路 | 
| 6级 | 泰来乡、其他地区及规划范围内其他国有建设用地 | |
| 官坝镇 | 4级 | 三白路、建设路、育才路、人民路、官坝老街、五一路、陶官路 | 
| 5级 | 丰收乡、其他地区及规划范围内其他国有建设用地 | |
| 洋渡镇 | 5级 | 鸿鹤路、鸿祥路、鸿图路、鸿图支路、滨江路 | 
| 6级 | 同合场、蒲家场、其他地区及规划范围内其他国有建设用地 | |
| 马灌镇 | 5级 | 迎宾街、健康路、文明路、官塘街、天平路、南新街、平安路 | 
| 6级 | 高洞场、黄钦场、倒灌场、其他地区及规划范围内其他国有建设用地 | |
| 新生镇 | 5级 | 新生财政所至新生社区、新生财政所至仕琼百货至友好柏言花园、新生汽车站范围、滨河小区至桐君阁大药房、新生镇敬老院至新生国家电网、新生汽车站至果梁七社三万大塘 | 
| 6级 | 望水乡场、其他地区及规划范围内其他国有建设用地 | |
| 复兴镇 | 4级 | 复兴大道、消防街、滨江街、川汉路、水平工业园区 | 
| 5级 | 其他地区及规划范围内其他国有建设用地 | |
| 白石镇 | 4级 | 石垫路、滨河路、三白路、白两路 | 
| 5级 | 巴营乡、两河乡、其他地区及规划范围内其他国有建设用地 | |
| 金鸡镇 | 5级 | 永青路、马金路、金泰路、文桂街 | 
| 6级 | 其他地区及规划范围内其他国有建设用地 | |
| 黄金镇 | 5级 | 忠万路、忠丰路 | 
| 6级 | 大岭乡、其他地区及规划范围内其他国有建设用地 | |
| 双桂镇 | 5级 | 瞿家巷子路口-双桂粮点(含滨河小区、商业街、桂华康居示范点等场镇规划区范围) | 
| 6级 | 瞿家巷子路口-原双桂收费站、双桂粮点-过桥村办公室、同德场、其他地区及规划范围内其他国有建设用地 | |
| 任家镇 | 5级 | 六三街、通江街 | 
| 6级 | 其他地区及规划范围内其他国有建设用地 | |
| 永丰镇 | 5级 | 紫薇大街及转盘、石垫路梁管所路口至金珠环路、永丰小学至老街黄桷树 | 
| 6级 | 其他地区及规划范围内其他国有建设用地 | |
| 野鹤镇 | 5级 | 忠万路西侧、忠万路东侧 | 
| 6级 | 新场乡、其他地区及规划范围内其他国有建设用地 | |
| 花桥镇 | 6级 | 花桥中学至花桥小学、花桥卫生院至镇政府大门、其他地区及规划范围内其他国有建设用地 | 
| 石黄镇 | 6级 | 十字街供销商场至卫生院、计生站至中心学校门口、其他地区及规划范围内其他国有建设用地 | 
| 金声乡 | 6级 | 金声乡、其他地区及规划范围内其他国有建设用地 | 
| 磨子乡 | 6级 | 磨子乡、其他地区及规划范围内其他国有建设用地 | 
| 石子乡 | 6级 | 石子乡、其他地区及规划范围内其他国有建设用地 | 
| 兴峰乡 | 6级 | 兴峰乡、其他地区及规划范围内其他国有建设用地 | 
| 涂井乡 | 6级 | 涂井乡、其他地区及规划范围内其他国有建设用地 | 
| 善广乡 | 6级 | 善广乡、其他地区及规划范围内其他国有建设用地 | 
附件3
忠县国有建设用地使用权
基准地价说明
一、适用范围
重庆市忠县国有建设用地使用权基准地价(以下简称基准地价)适用于忠县范围内的国有建设用地。
二、基准地价内涵
基准地价的内涵为城镇国有建设用地使用权不同级别、不同用途、设定容积率和土地开发程度下,特定出让年限的区域平均价格。基准地价的价格表现形式为楼面地价,是指单位建筑面积分摊的完整的国有建设用地使用权的平均价格(单位:元/平方米)。
(一)基准地价容积率
商业为3.0;办公为3.0;住宅为2.5;工业为1.0。
(二)基准地价土地开发程度
商业、办公、住宅为“六通一平”,指宗地外通路、通电、通信、通上水、通下水、通燃气及宗地内场地平整;工业为“五通一平”,指宗地外通路、通电、通信、通上水、通下水及宗地内场地平整。
(三)基准地价使用年限
商业40年;办公40年;住宅70年;工业50年。
(四)基准地价期日
2016年1月1日。
三、土地用途分类
基准地价土地用途分为商业、办公、住宅和工业四类。
(一)商业类
包括批发零售用地(包括商场、商铺、商店、超市、各类批发(零售)市场等用地);住宿餐饮用地(包括宾馆、旅馆、招待所、服务型公寓、自驾车和房车营地、度假村、酒店、饭店、餐厅、酒吧等用地);金融保险用地(指银行、证券期货交易所、保险公司等金融活动场所用地);娱乐康体用地(包括剧院、音乐厅、电影院、歌舞厅、网吧、大型游乐设施、影视城及仿古城等人造景观用地、高尔夫、赛马场、溜冰场、跳伞场、摩托车场、射击场,以及通用航空、水上运动的陆域部分等用地);其他商服用地(包括洗车场、洗染店、废旧物资回收站、维修网点、照相馆、理发美容店、洗浴场所、业余学校、民营培训机构、私人诊所、宠物医院、汽车维修站、加油站、加气站、充电站、停车场(库)及独立地段的电信、邮政、供水、燃气、供电、供热等其他公用设施营业网点用地)。
殡葬用地(包括殡仪馆、火葬场、骨灰寄存堂、陵园、墓地等殡葬场所用地)参照商业用途确定。
(二)办公类
包括商务办公用地(指企业、服务业等办公场所用地,包括写字楼、商业性办公楼、企业厂区外独立的办公楼以及贸易、设计、咨询等技术服务办公用地);艺术传媒用地(指文艺团体、影视制作、广告传媒等用地,包括广播电视、电视台、电影厂、报社、杂志社、通信社、出版社等);行政办公用地(指党政机关、社会团体、事业单位等机关团体用地)。
文化设施用地(包括公共图书馆、博物馆、档案馆、科技馆、纪念馆、美术馆和展览馆、会展中心、综合文化活动中心、文化馆、青少年宫、儿童活动中心、老年活动中心等设施用地);教育科研用地(包括高等院校、中等专业学校、中学、小学、科研事业单位用地);体育用地(包括体育场馆、体育训练基地等用地);医疗卫生用地(包括医疗保健、卫生防疫、康复急救、医检药检设施等用地);社会福利设施用地(包括福利院、养老院、孤儿院等用地);监教安保用地(包括监狱、看守所、拘留所、劳改劳教场所、戒毒所和安全保卫设施等用地);外事用地(包括外国驻华使馆、领事馆、办事处、国际机构等用地)及宗教用地(包括庙宇、寺院、道观、教堂等宗教活动场所用地)参照办公用途确定。
(三)住宅类
指用于一类居住、二类居住、三类居住用地中的住宅用地(包括普通住宅、公寓、别墅等)。
(四)工业类
包括工业用地(指工矿企业的生产车间、库房及其附属设施等用地);物流仓储用地(指物资储备、中转、配送等用地);采矿用地(指采矿、采石、采砂(沙)场、盐田、砖瓦窑等地面生产用地及尾矿堆放地)。
公用设施用地(指用于城乡基础设施的用地,包括供水、供电、供燃气、供热、邮政基础设施及基站、广播电视通信基站、消防、防洪、排水、环卫等设施用地)及交通水利设施用地(包括铁路、公路、港口码头、机场、管道运输、城市道路、轨道交通、交通枢纽、交通站场、水工建筑等设施用地)参照工业用途确定。
其他未列入上述范围的用地,其用途类别可参照相关或相近用地用途类别确定。办公类、住宅类、工业类用地中的配套经营性设施用地,应参照商业用途确定。
四、基准地价的应用
运用基准地价系数修正法进行宗地价格评估时应适用对应用途级别的基准地价,并根据宗地实际情况进行土地用途、期日、年期、容积率、区域和个别因素及土地开发程度等修正。评估多用途混合的宗地价格时,应按各具体用途分别修正后加权测算。
(一)宗地价格计算公式
1.地上计容部分
楼面地价=适用的基准地价×土地用途修正系数×期日修正系数×年期修正系数×容积率修正系数×区域和个别因素修正系数±土地开发程度修正值
地面价=楼面地价×R
R为设定容积率(工业用地R为1;商业、办公、住宅用地设定容积率小于1时,R取1)。
2.地下不计容部分
楼面地价=适用的基准地价×相应用途地下空间修正系数×期日修正系数×年期修正系数×区域和个别因素修正系数±土地开发程度修正值
地面价=楼面地价×(建筑面积÷宗地土地面积)
(二)宗地价格测算中有关参数的确定
1.适用的基准地价的确定
根据宗地的法定用途,按照本说明第三条规定的基准地价分类,确定适用的基准地价用途后,根据国土部门公布执行的土地级别,确定对应用途级别应适用的基准地价。
2.用途修正系数的确定
宗地需要进行用途修正的,地上计容部分应按照《土地用途修正系数表》确定用途修正系数;地下不计容部分应根据《地下空间修正系数表》相应用途批准类别确定相应用途地下空间修正系数。
3.期日修正系数的确定
期日修正系数=宗地估价期日的地价指数÷基准地价期日的地价指数
宗地估价期日的地价指数以重庆市地价动态监测成果公布的地价指数、地价增长率为准。
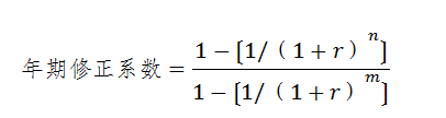
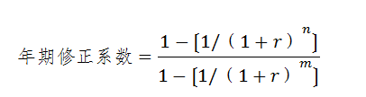
4.年期修正系数的确定
 
 

 
r为土地还原率(商业、办公、住宅、工业分别为7.50%、7.18%、6.51%、5.81%);n为宗地剩余使用年限;m为基准地价规定的对应用途土地使用年限。
5.容积率修正系数的确定
按照宗地的设定容积率(R),根据《容积率修正系数表》确定容积率修正系数。商业、办公、住:容积率小于1.0时,按容积率1.0确定修正系数;容积率大于4.5时,按容积率4.5确定修正系数。工业用地不进行容积率修正。
当R1<R<R2(R1、R2为上述《容积率修正系数表》中所列的相邻容积率)时,按下列公式计算容积率修正系数(X):
X=X1+(X2-X1)×(R-R1)/(R2-R1)
X1、X2为R1、R2所对应的容积率修正系数。
6.土地开发程度修正值的确定
当宗地的土地开发程度与基准地价设定的土地开发程度不一致时,应根据《土地开发程度修正值表》确定开发程度修正值。
上述《土地开发程度修正值表》中的土地开发程度修正值为土地面积单价,应用中应按下列公式换算为建筑面积单价:
宗地地上计容部分的土地开发程度修正值(建筑面积单价)=土地开发程度修正值(土地面积单价)÷宗地容积率
宗地地下不计容部分的土地开发程度修正值(建筑面积单价)=土地开发程度修正值(土地面积单价)÷(宗地地下不计容建筑面积÷宗地土地面积)
宗地同时具有地上计容部分和地下不计容部分的,评估时只计算宗地地上计容部分的土地开发程度修正值,地下不计容部分的土地开发程度不作修正。
7.区域和个别因素修正系数的确定
 


按照《区域和个别因素修正系数表》,根据宗地各种因素情况确定每种因素的修正系数,应用上述公式测算宗地的区域和个别因素修正系数。Ki为第i种因素的修正系数。
附表:1.土地用途修正系数表
2.地下空间修正系数表
3.容积率修正系数表
4.土地开发程度修正值表
5.区域和个别因素修正系数表
6. 年期修正系数表
附表1
土地用途修正系数表
| 用途 | 用途类别划分 | 范围 | 用途修正系数 | 
| 商业 | 基准 类别 | 批发零售用地 | 1 | 
| 其他 类别 | 商业用地(特指规划用地分类中未明确具体小类用途的B1用地)、居住用地中配建的商业设施用地、其他用地中的配套经营性设施用地 | 1 | |
| 金融保险用地 | 1.1 | ||
| 住宿餐饮用地、娱乐康体用地 | 0.9 | ||
| 其他商服用地(特指加油站、加气站用地) | 1.2 | ||
| 其他商服用地(特指停车场(库)用地) | 0.5 | ||
| 其他商服用地(特指加油站、加气站及停车场(库)以外的其他商服用地) | 0.8 | ||
| 殡葬用地 | 0.5 | ||
| 办公 | 基准 类别 | 商务办公用地 | 1 | 
| 其他 类别 | 商务用地(特指规划用地分类中未明确具体小类用途的B2用地) | 1 | |
| 艺术传媒用地、行政办公用地、教育科研用地(特指科研事业单位用地)、医疗卫生用地、外事用地 | 0.9 | ||
| 文化设施用地(特指展览馆、会展中心等用地) | 1.1 | ||
| 文化设施用地(特指展览馆、会展中心以外的文化设施用地)、教育科研用地(特指高等院校、中等专业学校、中小学、特殊教育学校用地)、体育用地 | 0.6 | ||
| 社会福利设施用地 | 0.6 | ||
| 监教安保用地、宗教用地 | 0.6 | ||
| 住宅 | 基准 类别 | 二类居住用地中的住宅用地 | 1 | 
| 其他 类别 | 一类居住用地中的住宅用地 | 1.2 | |
| 三类居住用地中的住宅用地 | 0.9 | ||
| 工业 | 基准 类别 | 工业用地 | 1 | 
| 其他 类别 | 物流仓储用地 | 1.1 | |
| 采矿用地、公用设施用地、交通水利设施用地 | 1 | 
备注:表中未注明具体内涵的用途按照本说明中土地用途分类的内涵界定。
附表2
容积率修正系数表
| 容积率 | 商业 | 办公 | 住宅 | 
| 1 | 1.84 | 1.71 | 2.00 | 
| 1.5 | 1.44 | 1.2 | 1.44 | 
| 2 | 1.16 | 1.07 | 1.14 | 
| 2.5 | 1.06 | 1.04 | 1 | 
| 3 | 1 | 1 | 0.95 | 
| 3.5 | 0.95 | 0.94 | 0.93 | 
| 4 | 0.9 | 0.89 | 0.91 | 
| 4.5 | 0.86 | 0.85 | 0.89 | 
附表3
地下空间修正系数表
| 地下空间 用途 | 适用的基准地价 | 楼层 | 地下空间修正系数表 | 
| 商业 | 商业用途基准类别 | 地下第一层 | 0.50 | 
| 地下第二层及以下 | 0.25 | ||
| 住宅 | 住宅用途基准类别 | 地下各层 | 0.20 | 
| 工业 | 工业用途基准类别 | 地下各层 | 0.30 | 
| 车库 | 商业用途基准类别 | 地下各层 | 0.20 | 
备注:地下空间指地下不计容建筑部分。
附表4
土地开发程度修正值表
:元/平方米(土地面积)
| 开发 程度 | 通路 | 通上水 | 通下水 | 通电 | 通讯 | 通燃气 | 场地 平整 | 合计 | 
| 开发 费用 | 20 | 10 | 15 | 15 | 10 | 15 | 25 | 110 | 
附表5
区域和个别因素修正系数表
表5-1 商业用地基准地价修正因素指标说明表
| 宗地修正因素 | 优 | 较优 | 一般 | 较差 | 差 | ||
| 区域因素 | 商服繁华度 | 商服类型 | 金融、综合性大商场 | 首饰店、家用电器、服装、宾馆、饮食 | 美容美发、日用百货.除宾馆外的其他旅游娱乐 | 粮油、副食店、停车场 | 加油站、营业性服务用地 | 
| 距离商服中心距离(m) | <500 | 501-1000 | 1001-2000 | 2001-4000 | >4000 | ||
| 商业网点密度 | 密集 | 较密集 | 一般 | 较不密集 | 不密集 | ||
| 交通条件 | 道路类型 | 100米内 有主干道 | 200米内 有主干道 | 300米内 有主干道 | 300米内 有次干道 | 300米外 有次干道 | |
| 公交线路数(条) | >5 | 3-5 | 2 | 1 | 无 | ||
| 距长途汽车站的距离(m) | <500 | 500-1000 | 1000-2000 | 2000-3500 | >3500 | ||
| 距港口的距离(m) | <500 | 500-1000 | 1000-2000 | 2000-3500 | >3500 | ||
| 距高速公路出口的距离(m) | <1000 | 1000-2000 | 2000-3000 | 3000-5000 | >5000 | ||
| 基础设施条件 | 供水保证度(%) | >96 | 90-96 | 85-90 | 70-85 | <70 | |
| 供电保证度(%) | >96 | 90-96 | 85-90 | 75-85 | <75 | ||
| 通信保证度(%) | >96 | 90-96 | 85-90 | 75-85 | <75 | ||
| 人口状况 (客流万人次/日) | >10 | 6-10 | 2-6 | 0.5-2 | <0.5 | ||
| 规划状况 | 有利 | 较有利 | 无影响 | 较不利 | 不利 | ||
| 个别因素 | 距公交站点的距离(m) | <100 | 100-300 | 301-800 | 801-1500 | >1500 | |
| 宗地临街状况 | 三面临街 | 两面临街 | 一面临街 | 袋地 | 袋地(严重影响利用) | ||
| 宗地宽深比 | >1.6 | 1.2-1.6 | 0.8-1.2 | 0.5-0.8 | <0.5 | ||
| 宗地的整形度 | 规则 | 较规则 | 一般 | 较不规则 | 不规则 | ||
表5-2 商业用地基准地价修正系数表
| 宗地修正因素 | 优 | 较优 | 一般 | 较差 | 差 | ||
| 区域 因素 | 商服 繁华度 | 商服类型 | 2.5 | 1 | 0 | -1 | -2.5 | 
| 距离商服中心距离 | 3.5 | 1.5 | 0 | -1.5 | -3.5 | ||
| 商业网点密度 | 2.5 | 1.5 | 0 | -1.5 | -2.5 | ||
| 交通条件 | 道路类型 | 1 | 0.5 | 0 | -0.5 | -1 | |
| 公交线路数 | 1 | 0.5 | 0 | -0.5 | -1 | ||
| 距长途汽车站 距离 | 0.5 | 0.3 | 0 | -0.3 | -0.5 | ||
| 距港口的距离 | 0.5 | 0.3 | 0 | -0.3 | -0.5 | ||
| 距高速公路出口距离 | 0.3 | 0.1 | 0 | -0.1 | -0.3 | ||
| 基础设施条件 | 供水保证度 | 1.5 | 0.5 | 0 | -0.5 | -1.5 | |
| 供电保证度 | 1.5 | 0.5 | 0 | -0.5 | -1.5 | ||
| 通信保证度 | 1 | 0.5 | 0 | -0.5 | -1 | ||
| 人口状况 | 3 | 1.5 | 0 | -1.5 | -3 | ||
| 规划状况 | 2 | 1.2 | 0 | -1.2 | -2 | ||
| 个别 因素 | 距公交站点的距离 | 1 | 0.5 | 0 | -0.5 | -1 | |
| 宗地临街状况 | 3 | 1.5 | 0 | -1.5 | -3 | ||
| 宗地宽深比 | 2 | 1 | 0 | -1 | -2 | ||
| 宗地的整形度 | 1.5 | 1 | 0 | -1 | -1.5 | ||
| 调整幅度合计 | 28.3 | 13.9 | 0 | -13.9 | -28.3 | ||
表5-3 办公用地基准地价修正因素指标说明表
| 宗地修正因素 | 优 | 较优 | 一般 | 较差 | 差 | ||
| 区域因素 | 商服繁华度 | 距商务中心 距离(m) | <500 | 500-2000 | 2000-4000 | 4000-6000 | >6000 | 
| 商务集聚程度 | 密集 | 较密集 | 一般 | 较不密集 | 不密集 | ||
| 交通条件 | 临街道路类型 | 100米内 有主干道 | 200米内 有主干道 | 300米内 有主干道 | 300米内 有次干道 | 300米外 有次干道 | |
| 公交线路数(条) | >5 | 3-5 | 2 | 1 | 无 | ||
| 距火车站的距离(m) | <800 | 800-1500 | 1500-3000 | 3000-5000 | >5000 | ||
| 距长途汽车站的距离(m) | <500 | 500-1000 | 1000-2000 | 2000-3500 | >3500 | ||
| 距高速公路出口的距离(m) | <1000 | 1000-2000 | 2000-3000 | 3000-5000 | >5000 | ||
| 基础设施条件 | 供水保证度(%) | >96 | 90-96 | 85-90 | 70-85 | <70 | |
| 供电保证度(%) | >96 | 90-96 | 85-90 | 75-85 | <75 | ||
| 通信保证度(%) | >96 | 90-96 | 85-90 | 75-85 | <75 | ||
| 规划状况 | 有利 | 较有利 | 无影响 | 较不利 | 不利 | ||
| 个别因素 | 江景或绿地资源(m) | <300 | 300-600 | 600-1000 | 1000-1500 | >1500 | |
| 距公交站点的距离(m) | <100 | 100-300 | 300-800 | 800-1500 | >1500 | ||
| 噪声、大气污染 | 无 | 轻微污染 | 一般 | 较重污染 | 严重污染 | ||
| 宗地坡度 | ≤5° | 5°-10° | 10°-15° | 15°-25° | >25° | ||
| 地质灾害 | 无 | 不易发区 | 低易发区 | 中易发区 | 高易发区 | ||
表5-4 办公用地基准地价修正系数表
| 宗地修正因素 | 优 | 较优 | 一般 | 较差 | 差 | ||
| 区域因素 | 商服繁华度 | 距商务中心距离 | 4.5 | 2.0 | 0 | -2.5 | -5.0 | 
| 商务集聚程度 | 3.0 | 1.5 | 0 | -2.0 | -4.0 | ||
| 交通条件 | 临街道路类型 | 1.0 | 0.5 | 0 | -0.5 | -1.0 | |
| 公交线路数 | 1.5 | 1.0 | 0 | -1.0 | -1.5 | ||
| 距火车站的距离 | 1.0 | 0.5 | 0 | -0.5 | -1.0 | ||
| 距长途汽车站的距离 | 1.5 | 0.5 | 0 | -0.5 | -1.5 | ||
| 距高速公路出口的距离 | 1.0 | 0.5 | 0 | -0.5 | -1.0 | ||
| 基础设施条件 | 供水保证度 | 1.0 | 0.5 | 0 | -0.5 | -1.0 | |
| 供电保证度 | 2.0 | 1.0 | 0 | -1.0 | -2.0 | ||
| 通信保证度 | 2.5 | 1.5 | 0 | -1.5 | -2.5 | ||
| 规划状况 | 1.5 | 1.0 | 0 | -1.5 | -2.5 | ||
| 个别因素 | 江景或绿地资源 | 3 | 1.5 | 0 | 0 | 0 | |
| 距公交站点的距离 | 1.5 | 0.5 | 0 | -0.5 | -1.5 | ||
| 噪声、大气污染 | 1.5 | 0.5 | 0 | -0.5 | -2.0 | ||
| 宗地坡度 | 1.0 | 0.5 | 0 | -0.5 | -1.0 | ||
| 地质灾害 | 1.0 | 0.5 | 0 | -0.5 | -1.0 | ||
| 调整幅度合计 | 28.5 | 14 | 0 | -14 | -28.5 | ||
表5-5 住宅用地基准地价修正因素指标说明表
| 宗地修正因素 | 优 | 较优 | 一般 | 较差 | 差 | ||
| 区域因素 | 繁华程度 | 距商业中心距离(m) | 500-1000 | <500或1000-1500 | 1500-2500 | 2500-4000 | >4000 | 
| 公交线路数(条) | >5 | 3-5 | 2 | 1 | 无 | ||
| 道路级别(宽度m) | ≥20 | 15-20 | 9-15 | 5-9 | <5 | ||
| 停车场地(m2) | 自备且>1000 | 自备,600-1000 | 自备,<600 | 附近有停车场 | 无 | ||
| 距长途汽车站的距离(km) | <1 | 1-3 | 3-8 | 8-15 | >15 | ||
| 基础设施条件 | 供水保证度(%) | >96 | 90-96 | 85-90 | 70-85 | <70 | |
| 供电保证度(%) | >96 | 90-96 | 85-90 | 70-85 | <75 | ||
| 天然气保有度(%) | >96 | 90-96 | 85-90 | 70-85 | <75 | ||
| 通信保有度(%) | >96 | 90-96 | 85-90 | 70-85 | <75 | ||
| 公用设施条件 | 与学校、幼儿园的距离(m) | <500 | 500-1000 | 1000-1500 | 1500-2000 | >2000 | |
| 与超市、农贸市场的距离(m) | <500 | 500-1000 | 1000-2000 | 2000-3000 | >3000 | ||
| 与医院、公园、体育场馆距离(m) | <500 | 500-1000 | 1000-2000 | 2000-3000 | >3000 | ||
| 人口状况 | 人口密度(万人/km2) | 1.5-2 | >2或1.2-1.5 | 0.8-1.2 | 0.5-0.8 | <0.5 | |
| 城市规划 | 城市规划 | 低密度高档住宅区 | 教学、科研、机关宿舍区及住宅小区 | 普通住宅区 | 工矿区配套住宅 | 尚未开发 | |
| 个别因素 | 江景或绿地资源(m) | <300 | 300-600 | 600-1000 | 1000-1500 | >1500 | |
| 噪声、大气污染 | 无 | 轻微污染 | 一般 | 较重污染 | 严重污染 | ||
| 宗地坡度 | ≤5° | 5°-10° | 10°-15° | 15°-25° | >25° | ||
| 地质灾害 | 无 | 不易发区 | 低易发区 | 中易发区 | 高易发区 | ||
表5-6 住宅用地基准地价修正系数表
| 宗地修正因素 | 优 | 较优 | 一般 | 较差 | 差 | ||
| 区域因素 | 繁华程度 | 距商业中心距离 | 1.5 | 0.5 | 0 | -0.5 | -1.5 | 
| 公交线路数 | 2 | 1 | 0 | -1 | -2 | ||
| 道路级别 | 1 | 0.5 | 0 | -0.5 | -1 | ||
| 停车场地 | 1.5 | 0.5 | 0 | -0.5 | -1.5 | ||
| 对外交通便利度 | 1 | 0.5 | 0 | -0.5 | -1 | ||
| 基础设施条件 | 水保有度 | 1.5 | 1 | 0 | -0.5 | -1.5 | |
| 电力保有度 | 1.5 | 1 | 0 | -0.5 | -1.5 | ||
| 天然气保有度 | 1.5 | 1 | 0 | -0.5 | -1.5 | ||
| 通信保有度 | 1 | 0.5 | 0 | -0.5 | -1 | ||
| 公用设施条件 | 学校、幼儿园 | 1.5 | 1 | 0 | -1.5 | -2 | |
| 超市、农贸市场 | 1.5 | 1 | 0 | -1.5 | -2 | ||
| 医院、公园、体育场馆 | 1 | 0.5 | 0 | -1 | -1.5 | ||
| 人口状况 | 人口密度 | 1.5 | 0.5 | 0 | -1 | -2 | |
| 城市规划 | 城市规划 | 2 | 1 | 0 | -2 | -3 | |
| 个别因素 | 江景或绿地资源(m) | 3 | 1.5 | 0 | 0 | 0 | |
| 噪声、大气污染 | 1.5 | 0.5 | 0 | -0.5 | -1.5 | ||
| 宗地坡度 | 1 | 0.5 | 0 | -0.5 | -1 | ||
| 地质灾害 | 1 | 0.5 | 0 | -0.5 | -1 | ||
| 调整幅度 | 26.5 | 13.5 | 0 | -13.5 | -26.5 | ||
表5-7 工业用地基准地价修正因素指标说明表
| 宗地修正因素 | 优 | 较优 | 一般 | 较差 | 差 | ||
| 区域因素 | 交通条件 | 临道路类型 | 交通型主干道 | 混合型主干道 | 生活型主干道或交通型次干道 | 生活型次干道 | 支路 | 
| 区域内部道路级别(宽度m) | >20 | 10-20 | 5-10 | <5 | 无 | ||
| 距最近货运港口的距离(km) | 自有码头 | <5 | 5-10 | 10-20 | >20 | ||
| 长途车站距离(km) | <2 | 2-5 | 5-10 | 10-20 | >20 | ||
| 距高速公路出入口的距离(km) | <5 | 5-10 | 10-15 | 15-20 | >20 | ||
| 基础设施条件 | 动力能源保证度(%) | >96 | 90-96 | 85-90 | 70-85 | <70 | |
| 供水保证度(%) | >96 | 90-96 | 85-90 | 75-85 | <75 | ||
| 排水设施完善度(%) | 排水畅通、常年不漫水 | 畅通、年内2-3次漫水 | 偶尔阻塞、年内2-3次漫水 | 偶尔阻塞、年内5-9次漫水 | 常阻塞、常漫水 | ||
| 通信保证度(%) | >96 | 90-96 | 85-90 | 75-85 | <75 | ||
| 产业集聚度 | 产业集聚类型 | 高新技术,联系紧密 | 高新技术,产业联系一般;一般产业,联系紧密 | 高新技术,联系松散;一般产业,联系一般 | 一般产业,联系松散 | 独立分布区 | |
| 企业规模(m2) | >10万 | 3万-10万 | 8千-3万 | 3千-8千 | <3千 | ||
| 城市规划 | 有利 | 较有利 | 无影响 | 较不利 | 不利 | ||
| 个别因素 | 宗地坡度 | ≤5° | 5°-10° | 10°-15° | 15°-25° | >25° | |
| 地质灾害 | 无 | 不易发区 | 低易发区 | 中易发区 | 高易发区、极易发区 | ||
| 区域内污染状况 | 无 | 轻微 | 一般 | 较重 | 严重 | ||
表5-8 工业用地基准地价修正系数表
| 宗地修正因素 | 优 | 较优 | 一般 | 较差 | 差 | ||
| 区域因素 | 交通条件 | 临道路类型 | 3 | 1.5 | 0 | -1.5 | -3 | 
| 区域内部道路级别 | 1.5 | 1 | 0 | -1 | -1.5 | ||
| 距最近货运港口的距离 | 2 | 1 | 0 | -1 | -2 | ||
| 长途车站距离 | 1 | 0.5 | 0 | -0.5 | -1 | ||
| 距高速公路出入口的距离 | 2 | 1 | 0 | -1 | -2 | ||
| 基础设施条件 | 动力能源保证度 | 3.5 | 2.5 | 0 | -2.5 | -3.5 | |
| 供水保证度 | 2.5 | 1.5 | 0 | -1.5 | -2.5 | ||
| 排水设施完善度 | 1.5 | 0.5 | 0 | -0.5 | -1.5 | ||
| 通信保证度 | 1 | 0.5 | 0 | -0.5 | -1 | ||
| 产业集聚度 | 产业集聚类型 | 4 | 2 | 0 | -2 | -4 | |
| 企业规模 | 1.5 | 0.5 | 0 | -0.5 | -1.5 | ||
| 城市规划 | 2 | 1 | 0 | -1 | -2 | ||
| 个别因素 | 宗地坡度 | 1.5 | 0.5 | 0 | -0.5 | -1.5 | |
| 地质灾害 | 1.5 | 1 | 0 | -1 | -1.5 | ||
| 区域内污染状况 | 1 | 0.5 | 0 | -0.5 | -1 | ||
| 合计 | 29.5 | 15.5 | 0 | -15.5 | -29.5 | ||
附表6
年限修正系数表
| 工业 | 住宅 | 办公 | 商业 | ||||||||||||
| 最高年限 | 剩余年限 | 还原 利率 | 年限修 正系数 | 最高年限 | 剩余年限 | 还原 利率 | 年限修 正系数 | 最高年限 | 剩余年限 | 还原 利率 | 年限修 正系数 | 最高年限 | 剩余年限 | 还原 利率 | 年限修 正系数 | 
| 50 | 50 | 5.81% | 1 | 70 | 70 | 6.51% | 1 | 40 | 40 | 7.18% | 1 | 40 | 40 | 7.50% | 1 | 
| 50 | 49 | 5.81% | 0.99633 | 70 | 69 | 6.51% | 0.9992 | 40 | 39 | 7.18% | 0.99522 | 40 | 39 | 7.50% | 0.9956 | 
| 50 | 48 | 5.81% | 0.99245 | 70 | 68 | 6.51% | 0.99835 | 40 | 38 | 7.18% | 0.99009 | 40 | 38 | 7.50% | 0.99087 | 
| 50 | 47 | 5.81% | 0.98834 | 70 | 67 | 6.51% | 0.99745 | 40 | 37 | 7.18% | 0.9846 | 40 | 37 | 7.50% | 0.98578 | 
| 50 | 46 | 5.81% | 0.984 | 70 | 66 | 6.51% | 0.99649 | 40 | 36 | 7.18% | 0.97871 | 40 | 36 | 7.50% | 0.98032 | 
| 50 | 45 | 5.81% | 0.9794 | 70 | 65 | 6.51% | 0.99546 | 40 | 35 | 7.18% | 0.9724 | 40 | 35 | 7.50% | 0.97444 | 
| 50 | 44 | 5.81% | 0.97454 | 70 | 64 | 6.51% | 0.99437 | 40 | 34 | 7.18% | 0.96564 | 40 | 34 | 7.50% | 0.96812 | 
| 50 | 43 | 5.81% | 0.96939 | 70 | 63 | 6.51% | 0.9932 | 40 | 33 | 7.18% | 0.95839 | 40 | 33 | 7.50% | 0.96133 | 
| 50 | 42 | 5.81% | 0.96394 | 70 | 62 | 6.51% | 0.99196 | 40 | 32 | 7.18% | 0.95062 | 40 | 32 | 7.50% | 0.95403 | 
| 50 | 41 | 5.81% | 0.95818 | 70 | 61 | 6.51% | 0.99064 | 40 | 31 | 7.18% | 0.9423 | 40 | 31 | 7.50% | 0.94618 | 
| 50 | 40 | 5.81% | 0.95208 | 70 | 60 | 6.51% | 0.98924 | 40 | 30 | 7.18% | 0.93337 | 40 | 30 | 7.50% | 0.93775 | 
| 50 | 39 | 5.81% | 0.94563 | 70 | 59 | 6.51% | 0.98774 | 40 | 29 | 7.18% | 0.92381 | 40 | 29 | 7.50% | 0.92868 | 
| 50 | 38 | 5.81% | 0.9388 | 70 | 58 | 6.51% | 0.98614 | 40 | 28 | 7.18% | 0.91355 | 40 | 28 | 7.50% | 0.91893 | 
| 50 | 37 | 5.81% | 0.93158 | 70 | 57 | 6.51% | 0.98445 | 40 | 27 | 7.18% | 0.90256 | 40 | 27 | 7.50% | 0.90845 | 
| 50 | 36 | 5.81% | 0.92394 | 70 | 56 | 6.51% | 0.98264 | 40 | 26 | 7.18% | 0.89079 | 40 | 26 | 7.50% | 0.89718 | 
| 50 | 35 | 5.81% | 0.91585 | 70 | 55 | 6.51% | 0.98071 | 40 | 25 | 7.18% | 0.87816 | 40 | 25 | 7.50% | 0.88507 | 
| 50 | 34 | 5.81% | 0.90729 | 70 | 54 | 6.51% | 0.97866 | 40 | 24 | 7.18% | 0.86463 | 40 | 24 | 7.50% | 0.87205 | 
| 50 | 33 | 5.81% | 0.89824 | 70 | 53 | 6.51% | 0.97647 | 40 | 23 | 7.18% | 0.85013 | 40 | 23 | 7.50% | 0.85805 | 
| 50 | 32 | 5.81% | 0.88866 | 70 | 52 | 6.51% | 0.97414 | 40 | 22 | 7.18% | 0.83459 | 40 | 22 | 7.50% | 0.84301 | 
| 50 | 31 | 5.81% | 0.87852 | 70 | 51 | 6.51% | 0.97166 | 40 | 21 | 7.18% | 0.81793 | 40 | 21 | 7.50% | 0.82683 | 
| 50 | 30 | 5.81% | 0.86779 | 70 | 50 | 6.51% | 0.96902 | 40 | 20 | 7.18% | 0.80008 | 40 | 20 | 7.50% | 0.80945 | 
| 50 | 29 | 5.81% | 0.85645 | 70 | 49 | 6.51% | 0.9662 | 40 | 19 | 7.18% | 0.78094 | 40 | 19 | 7.50% | 0.79075 | 
| 50 | 28 | 5.81% | 0.84444 | 70 | 48 | 6.51% | 0.96321 | 40 | 18 | 7.18% | 0.76043 | 40 | 18 | 7.50% | 0.77066 | 
| 50 | 27 | 5.81% | 0.83173 | 70 | 47 | 6.51% | 0.96001 | 40 | 17 | 7.18% | 0.73845 | 40 | 17 | 7.50% | 0.74906 | 
| 50 | 26 | 5.81% | 0.81829 | 70 | 46 | 6.51% | 0.95661 | 40 | 16 | 7.18% | 0.71489 | 40 | 16 | 7.50% | 0.72584 | 
| 50 | 25 | 5.81% | 0.80406 | 70 | 45 | 6.51% | 0.95299 | 40 | 15 | 7.18% | 0.68964 | 40 | 15 | 7.50% | 0.70088 | 
| 50 | 24 | 5.81% | 0.78901 | 70 | 44 | 6.51% | 0.94913 | 40 | 14 | 7.18% | 0.66257 | 40 | 14 | 7.50% | 0.67404 | 
| 50 | 23 | 5.81% | 0.77308 | 70 | 43 | 6.51% | 0.94502 | 40 | 13 | 7.18% | 0.63356 | 40 | 13 | 7.50% | 0.64519 | 
| 50 | 22 | 5.81% | 0.75623 | 70 | 42 | 6.51% | 0.94065 | 40 | 12 | 7.18% | 0.60247 | 40 | 12 | 7.50% | 0.61418 | 
| 50 | 21 | 5.81% | 0.7384 | 70 | 41 | 6.51% | 0.93599 | 40 | 11 | 7.18% | 0.56915 | 40 | 11 | 7.50% | 0.58085 | 
| 50 | 20 | 5.81% | 0.71953 | 70 | 40 | 6.51% | 0.93102 | 40 | 10 | 7.18% | 0.53343 | 40 | 10 | 7.50% | 0.54501 | 
| 50 | 19 | 5.81% | 0.69957 | 70 | 39 | 6.51% | 0.92574 | 40 | 9 | 7.18% | 0.49515 | 40 | 9 | 7.50% | 0.50649 | 
| 50 | 18 | 5.81% | 0.67845 | 70 | 38 | 6.51% | 0.9201 | 40 | 8 | 7.18% | 0.45412 | 40 | 8 | 7.50% | 0.46507 | 
| 50 | 17 | 5.81% | 0.6561 | 70 | 37 | 6.51% | 0.91411 | 40 | 7 | 7.18% | 0.41014 | 40 | 7 | 7.50% | 0.42055 | 
| 50 | 16 | 5.81% | 0.63245 | 70 | 36 | 6.51% | 0.90772 | 40 | 6 | 7.18% | 0.36301 | 40 | 6 | 7.50% | 0.37269 | 
| 50 | 15 | 5.81% | 0.60742 | 70 | 35 | 6.51% | 0.90091 | 40 | 5 | 7.18% | 0.31249 | 40 | 5 | 7.50% | 0.32124 | 
| 50 | 14 | 5.81% | 0.58095 | 70 | 34 | 6.51% | 0.89366 | 40 | 4 | 7.18% | 0.25835 | 40 | 4 | 7.50% | 0.26594 | 
| 50 | 13 | 5.81% | 0.55293 | 70 | 33 | 6.51% | 0.88595 | 40 | 3 | 7.18% | 0.20032 | 40 | 3 | 7.50% | 0.20648 | 
| 50 | 12 | 5.81% | 0.52329 | 70 | 32 | 6.51% | 0.87772 | 40 | 2 | 7.18% | 0.13812 | 40 | 2 | 7.50% | 0.14257 | 
| 50 | 11 | 5.81% | 0.49193 | 70 | 31 | 6.51% | 0.86897 | 40 | 1 | 7.18% | 0.07145 | 40 | 1 | 7.50% | 0.07386 | 
| 50 | 10 | 5.81% | 0.45874 | 70 | 30 | 6.51% | 0.85964 | 
 | 
 | 
 | 
 | 
 | 
 | 
 | 
 | 
| 50 | 9 | 5.81% | 0.42362 | 70 | 29 | 6.51% | 0.8497 | 
 | 
 | 
 | 
 | 
 | 
 | 
 | 
 | 
| 50 | 8 | 5.81% | 0.38647 | 70 | 28 | 6.51% | 0.83912 | 
 | 
 | 
 | 
 | 
 | 
 | 
 | 
 | 
| 50 | 7 | 5.81% | 0.34715 | 70 | 27 | 6.51% | 0.82785 | 
 | 
 | 
 | 
 | 
 | 
 | 
 | 
 | 
| 50 | 6 | 5.81% | 0.30555 | 70 | 26 | 6.51% | 0.81585 | 
 | 
 | 
 | 
 | 
 | 
 | 
 | 
 | 
| 50 | 5 | 5.81% | 0.26154 | 70 | 25 | 6.51% | 0.80306 | 
 | 
 | 
 | 
 | 
 | 
 | 
 | 
 | 
| 50 | 4 | 5.81% | 0.21497 | 70 | 24 | 6.51% | 0.78944 | 
 | 
 | 
 | 
 | 
 | 
 | 
 | 
 | 
| 50 | 3 | 5.81% | 0.16569 | 70 | 23 | 6.51% | 0.77494 | 
 | 
 | 
 | 
 | 
 | 
 | 
 | 
 | 
| 50 | 2 | 5.81% | 0.11355 | 70 | 22 | 6.51% | 0.75949 | 
 | 
 | 
 | 
 | 
 | 
 | 
 | 
 | 
| 50 | 1 | 5.81% | 0.05838 | 70 | 21 | 6.51% | 0.74304 | 
 | 
 | 
 | 
 | 
 | 
 | 
 | 
 | 
| 
 | 
 | 
 | 
 | 70 | 20 | 6.51% | 0.72551 | 
 | 
 | 
 | 
 | 
 | 
 | 
 | 
 | 
| 
 | 
 | 
 | 
 | 70 | 19 | 6.51% | 0.70685 | 
 | 
 | 
 | 
 | 
 | 
 | 
 | 
 | 
| 
 | 
 | 
 | 
 | 70 | 18 | 6.51% | 0.68696 | 
 | 
 | 
 | 
 | 
 | 
 | 
 | 
 | 
| 
 | 
 | 
 | 
 | 70 | 17 | 6.51% | 0.66579 | 
 | 
 | 
 | 
 | 
 | 
 | 
 | 
 | 
| 
 | 
 | 
 | 
 | 70 | 16 | 6.51% | 0.64323 | 
 | 
 | 
 | 
 | 
 | 
 | 
 | 
 | 
| 
 | 
 | 
 | 
 | 70 | 15 | 6.51% | 0.61921 | 
 | 
 | 
 | 
 | 
 | 
 | 
 | 
 | 
| 
 | 
 | 
 | 
 | 70 | 14 | 6.51% | 0.59362 | 
 | 
 | 
 | 
 | 
 | 
 | 
 | 
 | 
| 
 | 
 | 
 | 
 | 70 | 13 | 6.51% | 0.56637 | 
 | 
 | 
 | 
 | 
 | 
 | 
 | 
 | 
| 
 | 
 | 
 | 
 | 70 | 12 | 6.51% | 0.53735 | 
 | 
 | 
 | 
 | 
 | 
 | 
 | 
 | 
| 
 | 
 | 
 | 
 | 70 | 11 | 6.51% | 0.50643 | 
 | 
 | 
 | 
 | 
 | 
 | 
 | 
 | 
| 
 | 
 | 
 | 
 | 70 | 10 | 6.51% | 0.4735 | 
 | 
 | 
 | 
 | 
 | 
 | 
 | 
 | 
| 
 | 
 | 
 | 
 | 70 | 9 | 6.51% | 0.43843 | 
 | 
 | 
 | 
 | 
 | 
 | 
 | 
 | 
| 
 | 
 | 
 | 
 | 70 | 8 | 6.51% | 0.40107 | 
 | 
 | 
 | 
 | 
 | 
 | 
 | 
 | 
| 
 | 
 | 
 | 
 | 70 | 7 | 6.51% | 0.36129 | 
 | 
 | 
 | 
 | 
 | 
 | 
 | 
 | 
| 
 | 
 | 
 | 
 | 70 | 6 | 6.51% | 0.31891 | 
 | 
 | 
 | 
 | 
 | 
 | 
 | 
 | 
| 
 | 
 | 
 | 
 | 70 | 5 | 6.51% | 0.27377 | 
 | 
 | 
 | 
 | 
 | 
 | 
 | 
 | 
| 
 | 
 | 
 | 
 | 70 | 4 | 6.51% | 0.2257 | 
 | 
 | 
 | 
 | 
 | 
 | 
 | 
 | 
| 
 | 
 | 
 | 
 | 70 | 3 | 6.51% | 0.17449 | 
 | 
 | 
 | 
 | 
 | 
 | 
 | 
 | 
| 
 | 
 | 
 | 
 | 70 | 2 | 6.51% | 0.11996 | 
 | 
 | 
 | 
 | 
 | 
 | 
 | 
 | 
| 
 | 
 | 
 | 
 | 70 | 1 | 6.51% | 0.06187 | 
 | 
 | 
 | 
 | 
 | 
 | 
 | 
 |